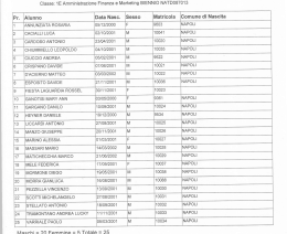
Classe: 1B Amministrazione Finanza e Marketing BIENNIO NATD087013
Pr.
1
10
11
Alunno
Data Nasc.
Sesso
Matricola
Comune di Nascita
\MENDOLA SIMONE
25t07t2001
M
1979
\APOLI
CMODIO AZZURRA
J2t02t2002
F
1980
\APOLI
\RAGONA SERGIO
10tQ2t2002
M
]981
\APOLI
sARBARO MARIA FRANCESCA
)1t04t2001
F
1982
\APOLI
3ELLICLAUDIA
19t03t2001
F
1983
\APOLI
]APASSO LORENZA
20t02t2002
F
1984
\APOLI
IOFFI ILARIA
)9t07t2001
F
1985
\APOLI
OLABELLI EMANUELE
18/09/2001
M
)986
\APOLI
]ONTINI MATTIA FERRUCCIO
)9t08t2001
M
1987
\APOLI
]OSTANTINO ALESSIA
)7to212002
F
10087
\APOLI
)3/10t2001
M
1988
\APOLI
UCCULO ANDREA
12
:ALANGA CARLO ALBERTO
25t02t2002
M
1989
\APOLI
1Q
LICETO STEFANO
12t11t2001
M
1990
\APOLI
14
VIARINO ALFREDO
23t04t2002
M
1991
\APOLI
15
VIAROTTA CLAUDIA
14t05t2001
F
9992
\APOLI
16
VIAROTTA DARIA
14t05t2001
F
oooa
\APOLI
17
]AESANO ANTONIO
23t11t2000
M
9286
\APOLI
18
]ARLATI LUCA NICOLA
)6t04t2001
M
9994
\APOLI
19
]ENNACCHIO DAVIDE
18/09/2000
M
J287
NAPOLI
20
,ERCUOCO MARCO
22tO5t2001
M
3995
NAPOLI
21
]ISCOPO MATTEO
11t02t2002
M
9996
NAPOLI
22
SPUZZO LORENZO
)7 t12t2001
VI
9997
NAPOLI
25
STARITA ALFONSO
24t10t2001
VI
9998
NAPOLI
24
TESTA GIULIANA
12t07 t2001
9999
NAPOLI
25
úOLPE ROBERTA
13t07t2001
1
Maschi = 15 Femmine = 10 Totale = 25
0000
NAPOLI
Scarica

Pr. Alunno Matricola Comune di Nascita Maschi